• Предмет: Алгебра
  • Автор: zhdanova2003ru10
  • Вопрос задан 1 год назад

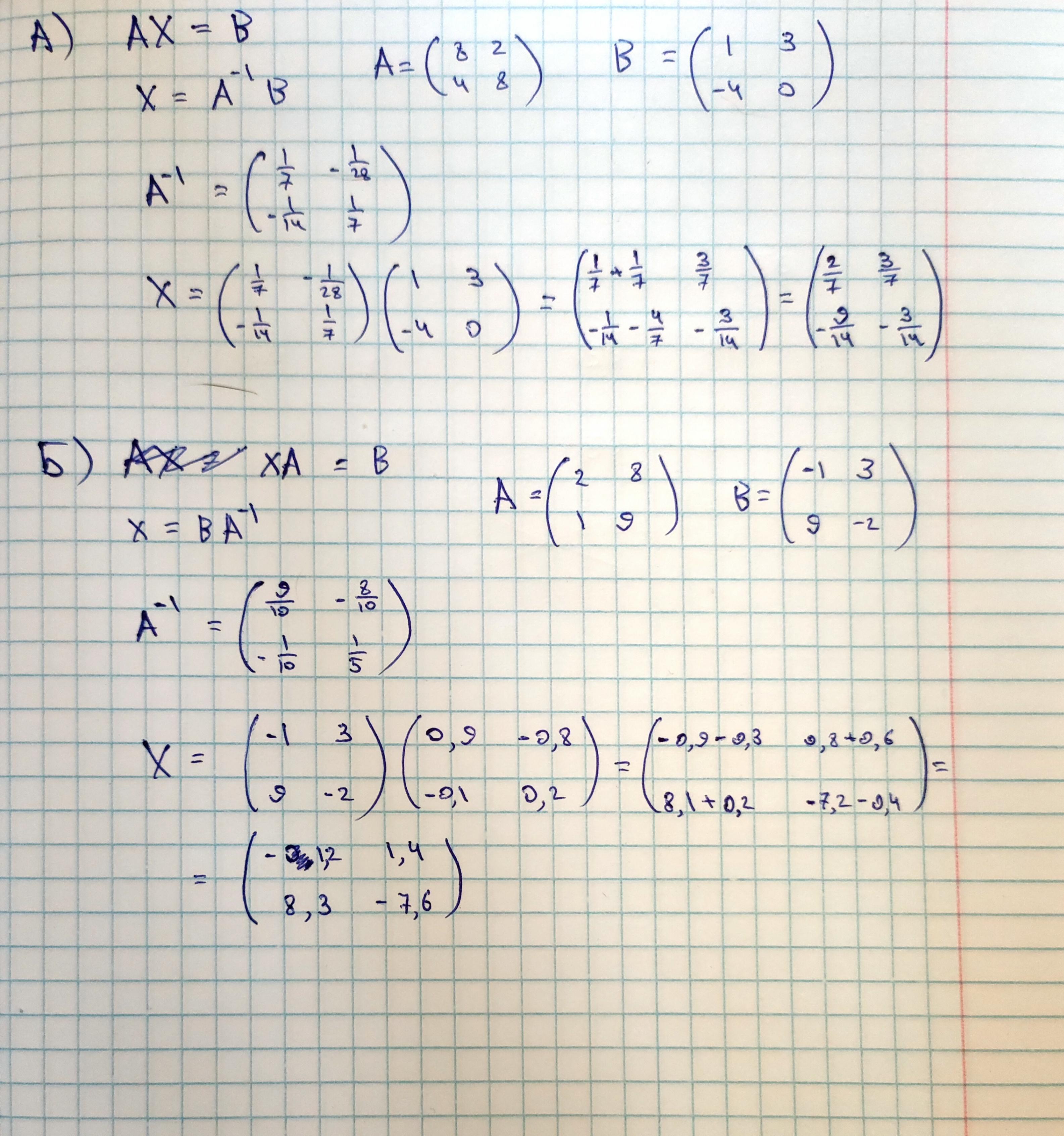
Решить матричное уравнение, с полным решением

Приложения:

Ответы

Ответ дал: 7limonchiK7
1

A) Ответ: ( (2/7 3/7) (-9/14 -3/14) )

Б) Ответ: ( (-1,2 1,4) (8,3 -7,6) )

На 1 фотографии представлено решение задание. На 2 фотографии нахождение обратной матрицы (А^(-1))

Приложения:
Вас заинтересует