• Предмет: Алгебра
  • Автор: aglaya502
  • Вопрос задан 2 года назад

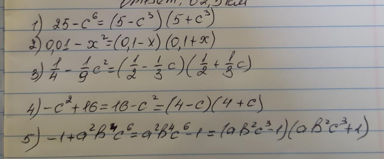
розкладіть на множники.
1) 25-с^6
2) 0,01-х^2
3) 1/4-1/9с^2
4) -с^2+16
5) -1+а^2б^4с^6

Ответы

Ответ дал: Ticher1997
0

Ответ:

все подробно решено на фотографии

Приложения:
Вас заинтересует