• Предмет: Алгебра
  • Автор: anchosst
  • Вопрос задан 2 года назад

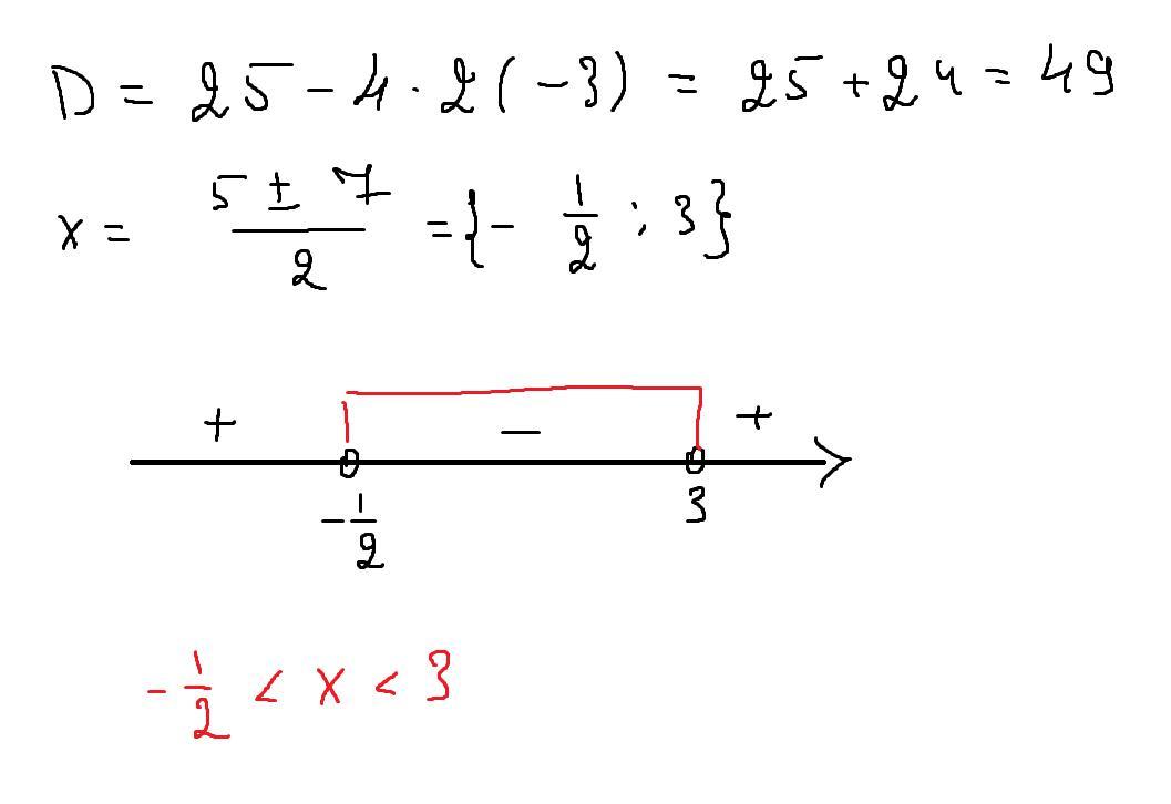
-2x²+5x+3>0 решить неравенство методом интервалов
желательно показать интервал​

Ответы

Ответ дал: polarkat
2

-2x^2+5x+3 > 0\Leftrightarrow 2x^2-5x-3 < 0

Приложения:

ГАЗ52: Почему деленное на 2?
Аноним: да хер его знает
Аноним: а что за метода писать что икс равно некому залупному множеству
Аноним: икс это множество что ли?
ГАЗ52: Запись,указанная в решении правильная, но возможно и так Х₁=(5-7)/4=-1/2, х₂=(5+7)/4=3
х∈(-1/2;3)
Аноним: ну то есть икс это множество да?
polarkat: Да это парень, которому в жизни заняться нечем, вот он и сидит сутками мониторит))
ГАЗ52: Это Вы про меня?
polarkat: Нет, тут парень писал, хейтер этого сайта)
Вас заинтересует