• Предмет: Алгебра
  • Автор: sofiaprk
  • Вопрос задан 2 года назад

Помогите пожалуйста!

Приложения:

Ответы

Ответ дал: polarkat
1

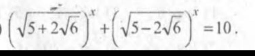
$\left ( \sqrt{5+2\sqrt{6}} \right )^x+\left ( \sqrt{5-2\sqrt{6}} \right )^x=10\Leftrightarrow \left ( \sqrt{5+2\sqrt{6}} \right )^x+\cfrac{1}{\left ( \sqrt{5+2\sqrt{6}} \right )^x}=10$

$\boxed{\left ( \sqrt{5+2\sqrt{6}} \right )\left ( \sqrt{5-2\sqrt{6}} \right )=\sqrt{25-24}=1}$

$\left ( \sqrt{5+2\sqrt{6}} \right )^{2x}-10\left ( \sqrt{5+2\sqrt{6}} \right )^x+1=0$$D_1=25-1=24\Rightarrow \left ( \sqrt{5+2\sqrt{6}} \right )^x=5\pm \sqrt{24}=5\pm 2\sqrt{6}\Rightarrow x=\pm 2$

Вас заинтересует