• Предмет: Математика
  • Автор: elizavetakoval66
  • Вопрос задан 2 года назад

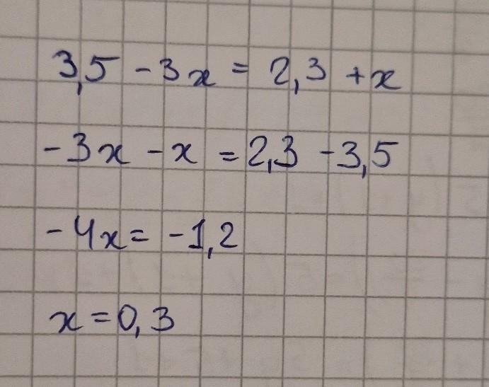
3.5 -3x=2.3+x
По діям біль ласка і як рівняння невідомі вліво відомі вправо
СРОЧНО

Ответы

Ответ дал: gguketosl
1

Ответ:

Пошаговое объяснение:

3.5 - 3x = 2.3 + x
3.5 = 2.3 + x + 3x
3.5 = 2.3 + 4x
3.5 - 2.3 = 4x
1.2 = 4x
x = 1.2 : 4
x = 0.3

Ответ дал: Elizabethfantomhai
1

Ответ:

.........................

Приложения:
Вас заинтересует