• Предмет: Математика
  • Автор: kirilolitvinkov
  • Вопрос задан 2 года назад

помогите решить задачу ​

Приложения:

Ответы

Ответ дал: Belyash27
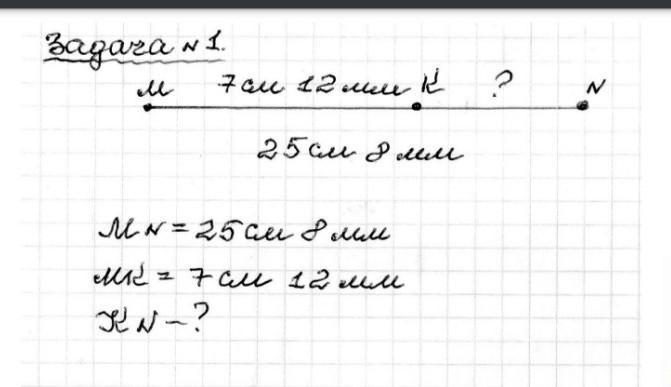
1

Ответ:

Пошаговое объяснение:

KN=MN-MK

MK=7 см 12 мм=70 мм+12 мм=82 мм

MN=25см 8 мм=250 мм+8мм=258 мм

KN=258-82=176мм=17см 6мм

Вас заинтересует