• Предмет: Алгебра
  • Автор: valentin7km
  • Вопрос задан 2 года назад

Пожалуйста очень надо

Приложения:

Ответы

Ответ дал: Belyash27
1

Ответ:

Объяснение:

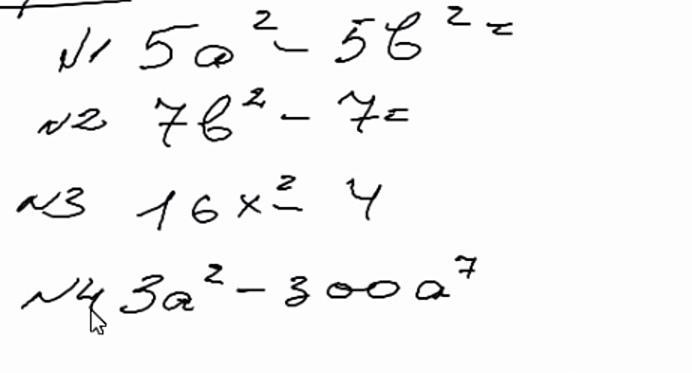
1. 5а²-5b²=5(a²-b²)=5(a-b)(a+b)

2. 7b²-7=7(b²- 1)

3. 16x²-4=4(4x²- 1)

4. 3a²-300a⁷=3а²(1 - 100а⁵)


7x8: 2, 3
Ответ дал: 7x8
0

1.\  5a^2-5b^2=5(a^2-b^2)=5(a-b)(a+b)\\\\2. \ 7b^2-7=7(b^2- 1)=7(b-1)(b+1)\\\\3. \ 16x^2-4=4(4x^2- 1)=4(2x-1)(2x+1)\\\\4. \ 3a^2-300a^7=3a^2(1 - 100a^5)

Вас заинтересует