• Предмет: Алгебра
  • Автор: mironstypel
  • Вопрос задан 2 года назад

Все в мельчайших деталях пожалуйста!! 100 БАЛЛОВ!!

Приложения:

Аноним: напишіть свій інст, там допоможу з вирішенням
mironstypel: wearhezz

Ответы

Ответ дал: polarkat
0

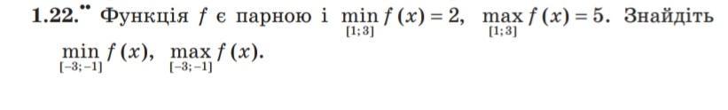
Если функция чётная, локальные экстремумы на противоположных диапазонах совпадают, тогда

$\min_{[-3,-1]}f(x)=\min_{[1,3]}f(x)=2, \ \ \max_{[-3,-1]}f(x)=\max_{[1,3]}f(x)=5$


Аноним: это какие детали? мельчайшие?
Вас заинтересует