• Предмет: Алгебра
  • Автор: elizavetacerkas57
  • Вопрос задан 2 года назад

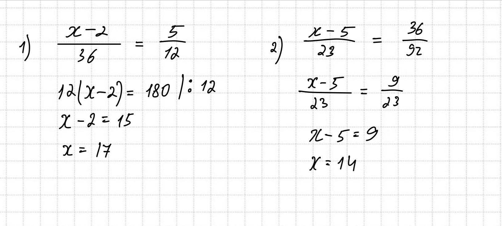
помогите со вторым (расписано)

Приложения:

Ответы

Ответ дал: JafarovaIlahaJD
0

 \frac{x - 5}{23} =  \frac{36}{92}  \\ 92(x - 5) = 36 \times 23 \\ 92x - 460 = 828 \\ 92x = 828  + 460 \\ 92x = 1288 \\ x = 1288 \div 92 \\ x = 14

Ответ дал: Аноним
1

Ответ:

дай лучший ответ пж

Объяснение:

Приложения:
Вас заинтересует