• Предмет: Алгебра
  • Автор: petromazhak
  • Вопрос задан 2 года назад

Допоможіть, будь ласка. Срочно даю 50б​

Приложения:

Ответы

Ответ дал: zanbolkobeev999
0

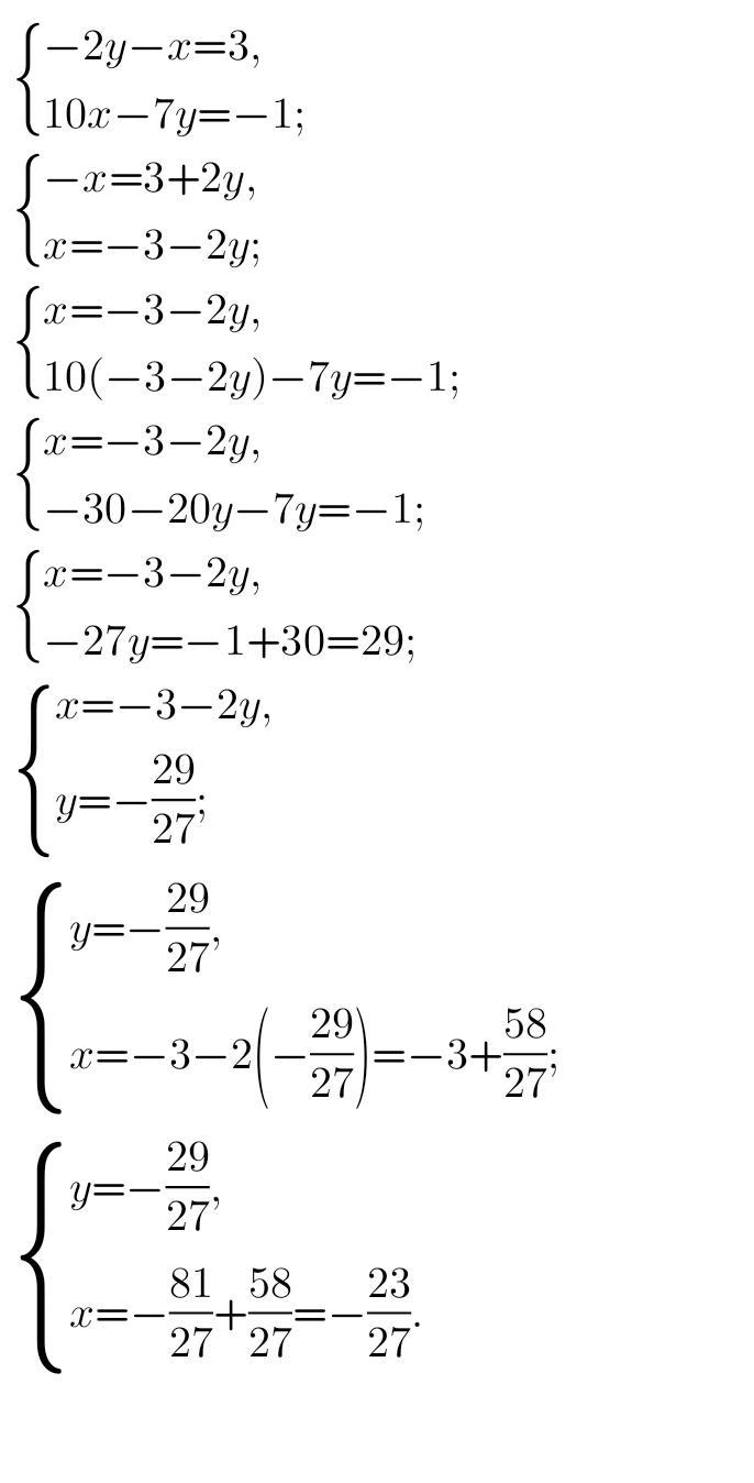
\left \{ {{-2y-x=3} \atop {10x-7y=-1}} \right.= > \left \{ {{-20y-10x=30} \atop {10x-7y=-1}} \right.(+)= > -27y=29= > y=-\frac{29}{27}\\ -2*(-\frac{29}{27})-x=3= > x=\frac{58}{27}-3=\frac{58-81}{27}=-\frac{23}{27}Ответ(-\frac{23}{27};-\frac{29}{27})

Объяснение:


fctdgsygfdhngfxzgsac: zanbolkobeev999, здравствуйте! можете помочь пожалуйста?
Ответ дал: anna171770
0

Ответ:

х= -23/27

у= -29/27

Объяснение:

на фото

Приложения:
Вас заинтересует