• Предмет: Алгебра
  • Автор: evgenbondarenko666
  • Вопрос задан 2 года назад

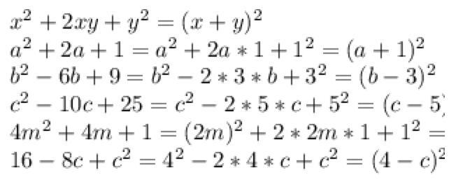
Подайте тричлен у вигляді квадрата двочлена:

1) x² + 2xy + y²;

2) а² + 12а + 36;

3) 64 + 166 +b²;

4) 1-2z+z²;

5) n² + 4n + 4;

Ответы

Ответ дал: smmassh
2
извиняюсь за не полный ответ, помог чем смог
Приложения:
Вас заинтересует