• Предмет: Математика
  • Автор: pastetsana144
  • Вопрос задан 1 год назад

Помогите пожалуйста,С ДЕЙСТВИЯМИ!!!

Приложения:

Ответы

Ответ дал: iramazurk
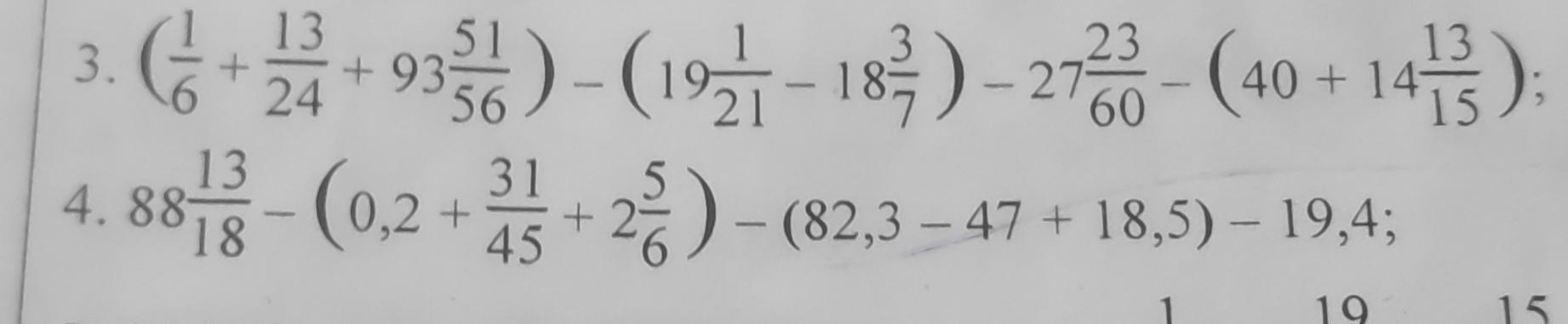
1

Пошаговое объяснение:

3

1) 1/6 + 13/24 = 4/24 + 13/24 = 17/24

2) 17/24 + 93 51/56 = 119/168 + 93 153/168 = 93 272/168 = 94 104/168 = 94 13/21

3) 19 1/21 - 18 3/7 = 18 22/21 - 18 9/21 = 13/21

4) 40 + 14 13/15 = 54 13/15

5) 94 13/21 - 13/21 = 94

6) 94 - 27 23/60 = 93 60/60 - 27 23/60 = 66 37/60

7) 66 37/60 - 54 13/15 = 66 37/60 - 54 52/60 = 65 97/60 - 54 52/60 = 11 45/60 = 11 3/4

4

1) 0,2 + 31/45 = 2/10 + 31/45 = 18/90 + 62/90 = 80/90 = 8/9

2) 8/9 + 2 5/6 = 16/18 + 2 15/18 = 2 31/18 = 3 13/18

3) 82,3 - 47 = 35,3

4) 35,3 + 18,5 = 53,8

5) 88 13/18 - 3 13/18 = 75

6) 75 - 53,8 = 21,2

7) 21,2 - 19,4 = 1,8

Вас заинтересует