• Предмет: Алгебра
  • Автор: rustamzico43
  • Вопрос задан 2 года назад

найдите не определенный интеграл ​

Приложения:

Ответы

Ответ дал: NNNLLL54
1

Ответ:

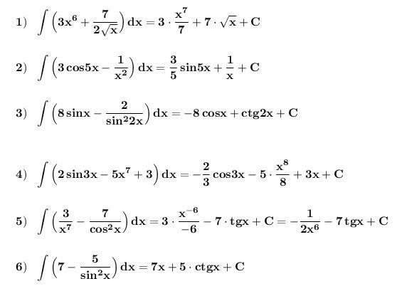
Непосредственное интегрирование. Все интегралы табличные или приводятся к табличным .

\bf \displaystyle 1)\ \ \int \Big(3x^6+\frac{7}{2\sqrt{x}}\Big)\, dx=3\cdot \frac{x^7}{7}+7\cdot \sqrt{x}+C\\\\\\2)\ \ \int \Big(3\, cos5x-\frac{1}{x^2}\Big)\, dx=\frac{3}{5}\, sin5x+\frac{1}{x}+C\\\\\\3)\ \ \int \Big(8\, sinx-\frac{2}{sin^22x}\Big)\, dx=-8\, cosx+ctg2x+C  

\bf \displaystyle 4)\ \ \int \Big(2\, sin3x-5x^7+3\Big)\, dx=-\frac{2}{3}\, cos3x-5\cdot \frac{x^8}{8}+3x+C\\\\\\5)\ \ \int \Big(\frac{3}{x^7}-\frac{7}{cos^2x}\Big)\, dx=3\cdot\frac{x^{-6}}{-6}-7\cdot tgx+C=-\frac{1}{2x^6}-7\, tgx+C\\\\\\6)\ \ \int \Big(7-\frac{5}{sin^2x}\Big)\, dx=7x+5\cdot ctgx+C  

Приложения:

rustamzico43: Спс большое можешь оставить контакты чтоб связаться с тобой
Вас заинтересует