• Предмет: Алгебра
  • Автор: z6682928
  • Вопрос задан 2 года назад

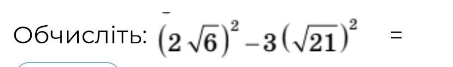
Обчисліть: (2 /6)²-3(/21)² (√21) || =​

Приложения:

Аноним: напишіть свій інст, там допоможу з вирішенням
z6682928: добре
z6682928: ballgag___
z6682928: осьо
z6682928: там типу око

Ответы

Ответ дал: idleptimp
2

Відповідь:

Пояснення:

(2\sqrt{6})^{2}  -3(\sqrt{21} )^{2} =4*6-3*21=24-63=-39


z6682928: спасіба браточік
idleptimp: звертайся, бро
Вас заинтересует