• Предмет: Математика
  • Автор: kd270880
  • Вопрос задан 2 года назад

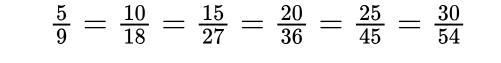
запишите четыре дроби равные дроби 5/9 но с числителем большим числителя данной дроби


Срочно пж!!!!!!!!!!!

Ответы

Ответ дал: mofantik
127

Ответ:

Ответ на фото. Оцените ответ

Приложения:

mehribon145: Спасибо большое
sabduraxmonova184: Спасибо большое ❤️
ziyodakhasimova6: Молодцы
ayubhonkhakimov8: ОГРОМНОЕЕЕЕ СПАСИБО!?!!!!!!!!!!
Вас заинтересует