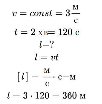
Тіло рухається рівномірно і прямолінійно зі швидкістю 3 м/с. укажіть, який шлях пройде тіло за
2 хв
Ответы
Ответ дал:
0
Ответ:
Відповідь на фото. Сподіваюсь, що ця відповідь вам допоможе. Якщо вам сподобалась відповідь, то оцініть її, будь ласка
Объяснение:
Приложения:

Вас заинтересует
1 год назад
1 год назад
1 год назад
2 года назад
8 лет назад