• Предмет: Математика
  • Автор: kolyapro2001
  • Вопрос задан 1 год назад

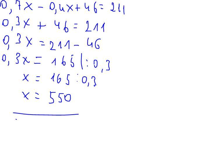
0.7х-0.4х+46=211 помогите пожалуйста

Ответы

Ответ дал: gguketosl
0

#####################

Приложения:

kolyapro2001: Рар
Ответ дал: hgdckfl
0

Ответ:

x=550

Надеюсь помогла =)

Вас заинтересует