• Предмет: Алгебра
  • Автор: katirina2021
  • Вопрос задан 2 года назад

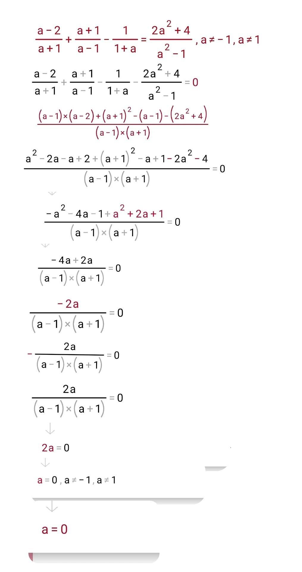
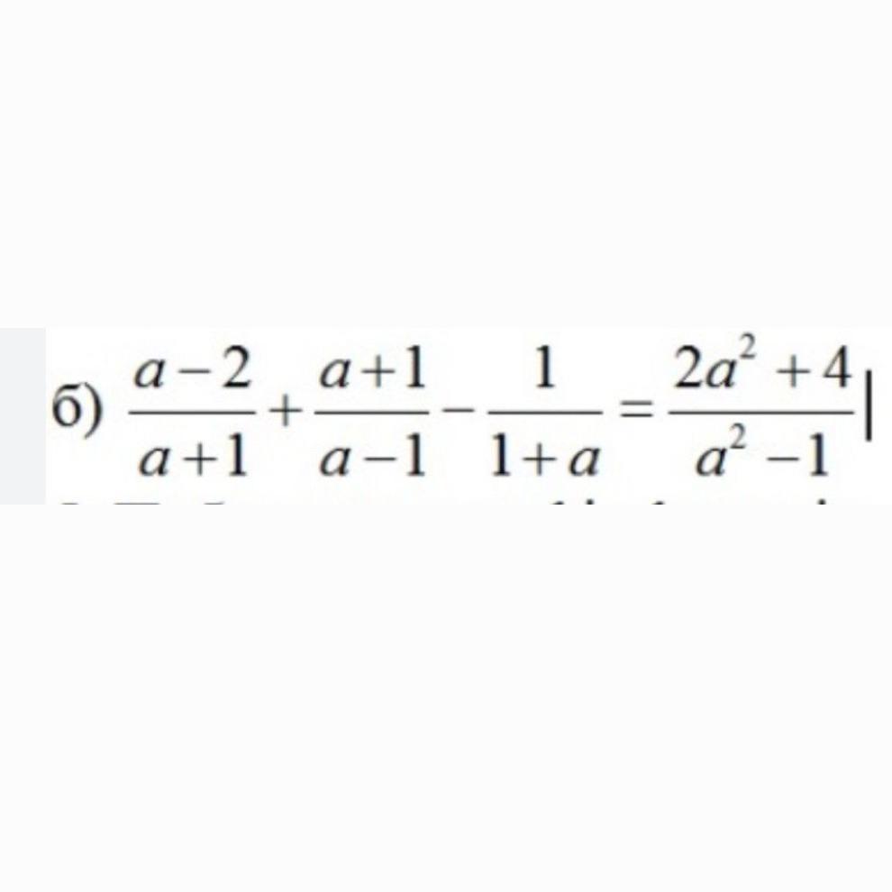
допоможіть, будь ласка, даю 20 балів, терміново потрібне РОЗВʼЯЗАННЯ!!

Приложения:

Ответы

Ответ дал: mars07jk97
1

Розв'язок рівняння на фото!

Приложения:
Вас заинтересует