• Предмет: Алгебра
  • Автор: islamshijanserik
  • Вопрос задан 2 года назад

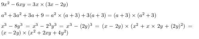
9x2-6xy=
a³+3a²+3a+9=
x³-8y3=​

Ответы

Ответ дал: Mutiks
0

Відповідь: все на фото

Приложения:

islamshijanserik: где ты раньше был
Вас заинтересует