• Предмет: Математика
  • Автор: sticast77
  • Вопрос задан 2 года назад

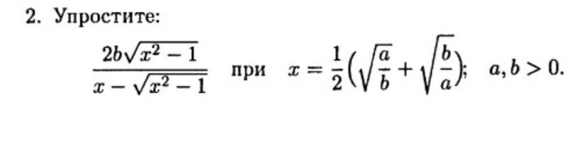
Решите пример ДАЮ 100 БАЛЛОВ

Приложения:

Ответы

Ответ дал: iiplpppr
0

Ответ:

Выражение невозможно вычислить при данном значении x, поскольку знаменатель равен 0.

Пошаговое объяснение:

Вас заинтересует