• Предмет: Алгебра
  • Автор: Elizabeth38258
  • Вопрос задан 1 год назад

Помогите, пожалуйста. Задание на фото

Приложения:

Ответы

Ответ дал: mariannaklusta
1

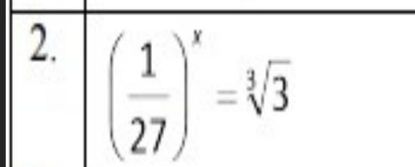
Ответ:

х= -1/9, я це типу ще пишу тому що там треба ще щоб більше букв було але не звертай уваги

Ответ дал: vinwap
1

Ответ:

-1/9

Объяснение:

1/27 = 3^(-3)

\sqrt[3]{3} = 3^(1/3)

(3^(-3))^x = 3^(1/3) => -3x = 1/3 => x = -1/9

Вас заинтересует