Ответы
Ответ дал:
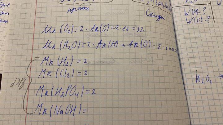
1
1. Mr(H2)= 1*2=2
2. Mr(Cl2)= 35*2=70
3. Mr(H2PO4)= 1*2+31+16*4= 97
4. Mr(NaOH)= 23+16+1= 40
Объяснение:
чтобы определить молекулярную массу(Mr) нужно сложить и перемножить все имеющиеся циферки.
умножаем мы только тогда, когда у нас есть индексы(это цифры снизу). а как же дела обстоят с цифрами побольше? это уже цифры самих элементов. нужно лишь посмотреть на относительную атомную массу элемента(указано на фото). вы можете так же округлить, но только в том случае, если после запятой идут цифры выше 4
2. Mr(Cl2)= 35*2=70
3. Mr(H2PO4)= 1*2+31+16*4= 97
4. Mr(NaOH)= 23+16+1= 40
Объяснение:
чтобы определить молекулярную массу(Mr) нужно сложить и перемножить все имеющиеся циферки.
умножаем мы только тогда, когда у нас есть индексы(это цифры снизу). а как же дела обстоят с цифрами побольше? это уже цифры самих элементов. нужно лишь посмотреть на относительную атомную массу элемента(указано на фото). вы можете так же округлить, но только в том случае, если после запятой идут цифры выше 4
Приложения:
Вас заинтересует
1 год назад
1 год назад
2 года назад
2 года назад
3 года назад
8 лет назад
8 лет назад