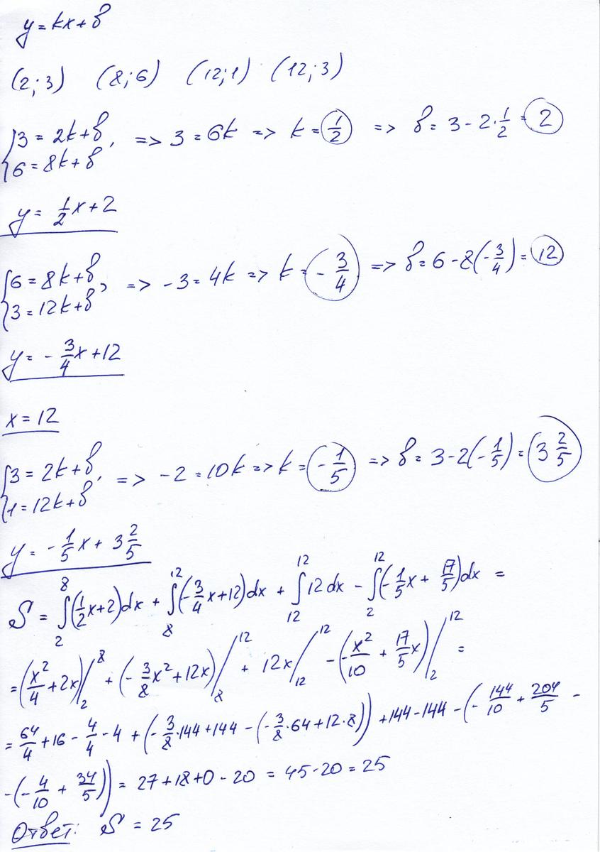
Найти площадь четырехугольника, вершины которого имеют координаты (2;3) , (8;6) , (12;1) , (12;3).
Ответы
Ответ дал:
0
Решение и график в приложении ниже
Приложения:
Вас заинтересует
3 года назад
8 лет назад
8 лет назад
11 лет назад
11 лет назад
11 лет назад
11 лет назад