• Предмет: Математика
  • Автор: klofixyt
  • Вопрос задан 1 год назад

Решите по быстрому,Ответ развёрнутым должен быть

Приложения:

Ответы

Ответ дал: asotfilipavic7
1

Ответ:

Пошаговое объяснение:

Приложения:
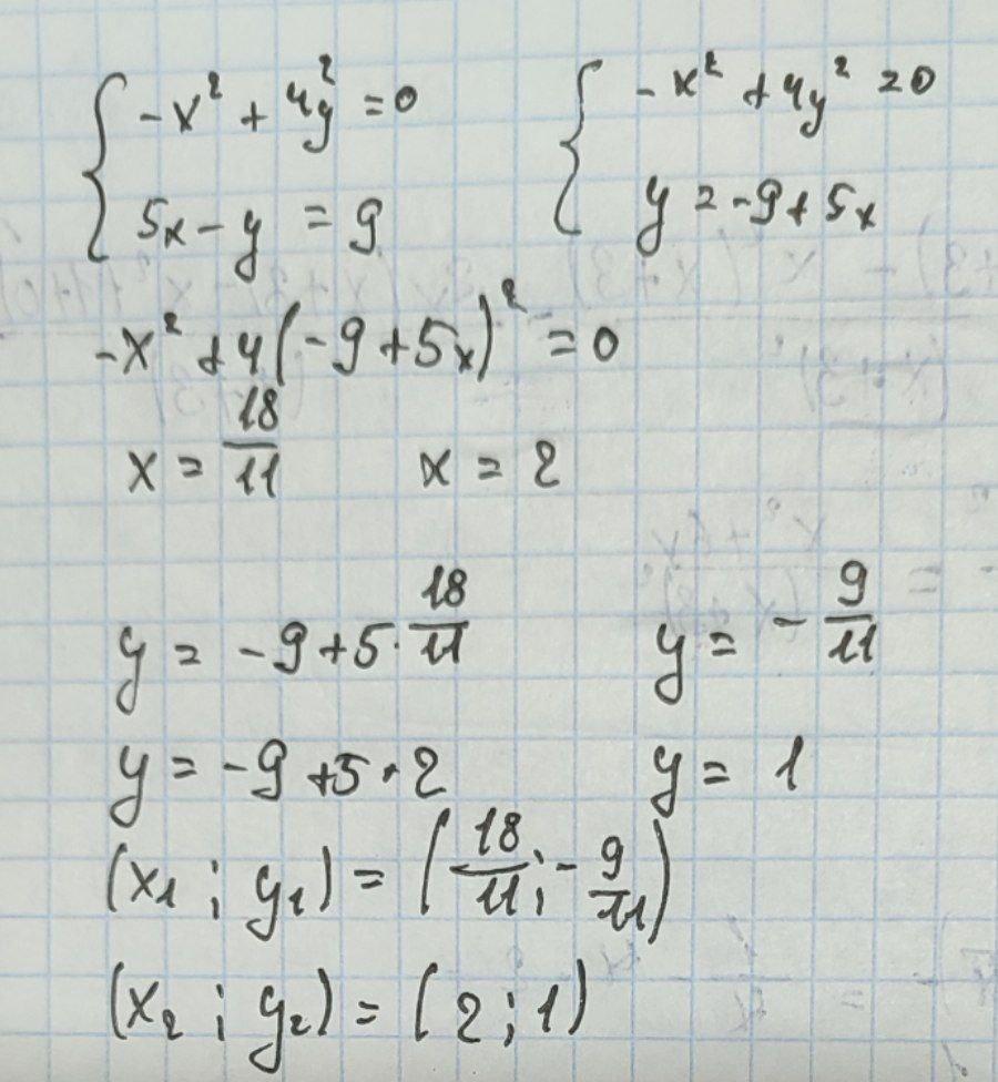
Ответ дал: aarr04594
1

(2;1); (18/11; -9/11)

##############

Приложения:
Вас заинтересует