• Предмет: Алгебра
  • Автор: bolatmansurzz10
  • Вопрос задан 1 год назад

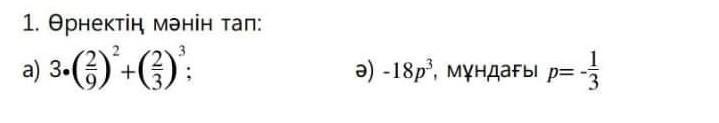
0 діқ бақылау очень нуждаюс​

Приложения:

Ответы

Ответ дал: misssuluzhan
0

первый ответ...,......

Приложения:
Вас заинтересует