• Предмет: Алгебра
  • Автор: h6933105
  • Вопрос задан 2 года назад

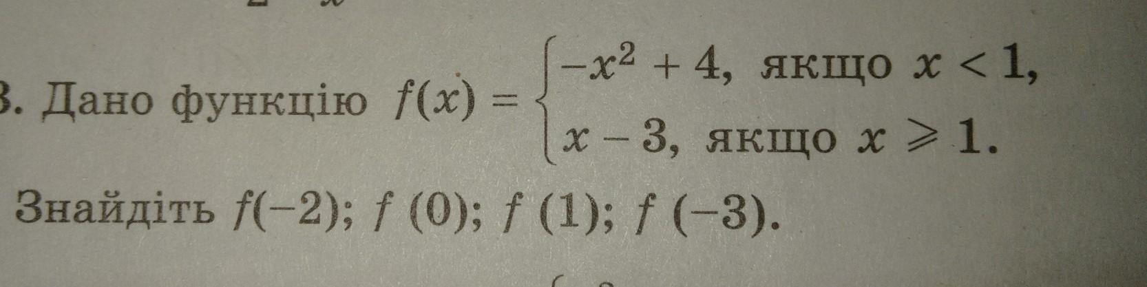
допоможіть будь ласка​

Приложения:

Ответы

Ответ дал: Universalka
0

\displaystyle\bf\\f(x)=\left \{ {{-x^{2} +4 \  \ , \  \ x < 1 } \atop {x-3 \  \ , \  \ x\geq 1}} \right. \\\\\\1)\\\\-2 < 1 \  \ \Rightarrow \  \ f(-2)=-(-2)^{2} +4=-4+4=0\\\\2)\\\\0 < 1 \  \ \Rightarrow \  \ f(0)=-0^{2} +4=4\\\\3)\\\\1=1 \  \ \Rightarrow \  \ f(1)=1-3=-2\\\\4)\\\\-3 < 1 \  \ \Rightarrow \  \ f(-3)=-(-3)^{2} +4=-9+4=-5

Вас заинтересует