• Предмет: Алгебра
  • Автор: kirill5756
  • Вопрос задан 2 года назад

Помогите срочно алгебра 8класс

Приложения:

Ответы

Ответ дал: 7x8
1

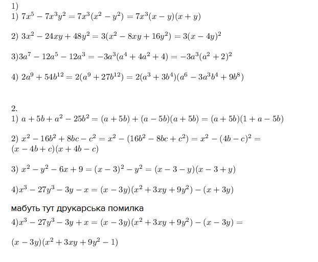
1)\\1)\ 7x^5 -7x^3y^2=7x^3(x^2-y^2)=7x^3(x-y)(x+y)\\\\2)\ 3x^2-24xy+48y^2=3(x^2-8xy+16y^2)=3(x-4y)^2\\\\3)\-3a^7-12a^5-12a^3=-3a^3(a^4+4a^2+4)=-3a^3(a^2+2)^2\\\\4)\ 2a^9 +54b^{12}=2(a^9+27b^{12})=2(a^3 + 3b^4)(a^6 - 3a^3b^4 + 9b^8)

2.\\1)\ a+5b+a^2-25b^2=(a+5b)+(a-5b)(a+5b)=(a+5b)(1+a-5b)\\\\2)\ x^2-16b^2+8bc-c^2=x^2-(16b^2-8bc+c^2)=x^2-(4b-c)^2=\\(x-4b+c)(x+4b-c)\\\\3)\ x^2-y^2-6x+9=(x-3)^2-y^2=(x-3-y)(x-3+y)\\\\4) x^3-27y^3-3y-x=(x - 3y)(x^2 + 3xy + 9y^2)-(x+3y)

мабуть тут друкарська помилка

4) x^3-27y^3-3y+x=(x - 3y)(x^2 + 3xy + 9y^2)-(x-3y)=\\\\(x-3y)(x^2 + 3xy + 9y^2-1)

Приложения:

kirill5756: Спасибо огромное ))
7x8: :)
kirill5756: Минус в том что по краю невидно :(
7x8: я добавилa вложение
kirill5756: Спасибо
Вас заинтересует