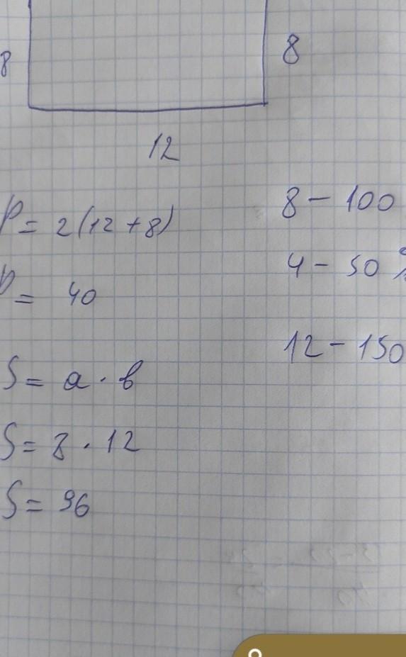
2) Ширина прямоугольника 8 см, его длина составляет 150%от его ширины. Найдите периметр и площадь прямоугольника
Ответы
Ответ дал:
1
Ответ:
S=96 P=40
Пошаговое объяснение:
Снизу на фотографии
Приложения:

Ответ дал:
0
Ответ:
вот ............пдадек
Приложения:

Вас заинтересует
1 год назад
1 год назад
1 год назад
2 года назад
2 года назад
8 лет назад