• Предмет: Алгебра
  • Автор: pwdxtb
  • Вопрос задан 1 год назад

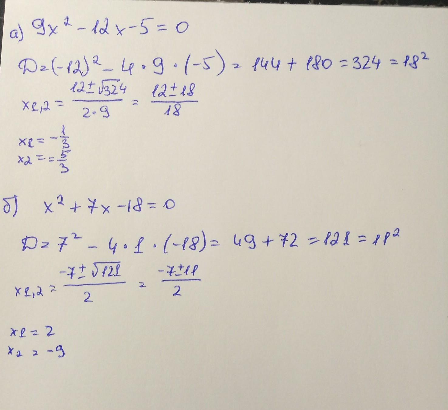
Розв'язати квадратні рівняння: a) 9х2 -12х - 5= 0; б) x2 + 7x – 18 = 0.​

Ответы

Ответ дал: 7x8
1

Ответ:

a) - \frac{ 1 }{ 3 } ; \ 1 \frac{ 2 }{ 3 }

б) -9;\ 2

Объяснение:

a)

9x^{2} - 12x - 5 =0\\\\ a=9 ,\ \ b=-12 ,\ \ c=-5\\\\ D = b^2 - 4ac = (- 12)^2 - 4\cdot9\cdot( - 5) = 144 + 180 = 324\\\\\sqrt{D} =\sqrt{324} = 18\\\\ x_1=\frac{-b-\sqrt{D}}{2a}=\frac{12-18}{2\cdot9}=\frac{-6 }{18 }=- \frac{ 1 }{ 3 } \\\\ x_2=\frac{-b+\sqrt{D}}{2a}=\frac{12+18}{2\cdot9}=\frac{30}{18}= \frac{ 5 }{ 3 }=1\frac{2}{3}

б)

x^{2} + 7 x - 18 =0\\\\ a=1 ,\ \ b=7 ,\ \ c=-18\\\\ D = b^2 - 4ac = 7^2 - 4\cdot1\cdot( - 18) = 49 + 72 = 121\\\\\sqrt{D} =\sqrt{121} = 11\\\\ x_1=\frac{-b-\sqrt{D}}{2a}=\frac{-7-11}{2\cdot1}=\frac{-18 }{2 }=-9\\\\ x_2=\frac{-b+\sqrt{D}}{2a}=\frac{-7+11}{2\cdot1}=\frac{4}{2}=2

Ответ дал: Kaktus1v
0

Объяснение:

...........................

Приложения:
Вас заинтересует