• Предмет: Химия
  • Автор: marianakravchenok9
  • Вопрос задан 2 года назад

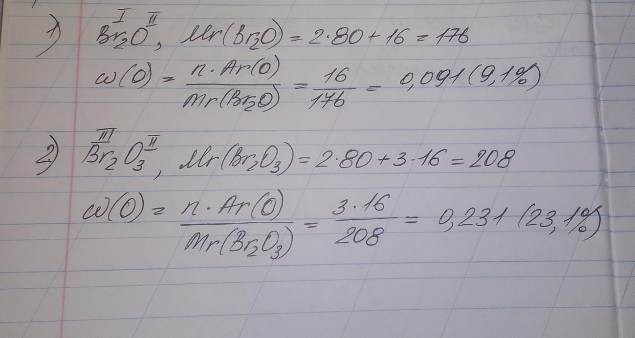
Бром у бінарних сполуках з Оксигеном може
виявляти валентності I та III. Запишіть хімічні
формули цих сполук та обчисліть, у якій з
них масова частка Оксигену більша

Ответы

Ответ дал: unezhewaoxnw6u
0

Объяснение:

в оксиде брома (|||) массовая доля кислорода больше, чем в оксиде брома (|)

Приложения:
Вас заинтересует