• Предмет: Алгебра
  • Автор: firelisa81
  • Вопрос задан 1 год назад

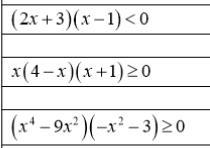
помогите пожалуйста,,,,,

Приложения:

Ответы

Ответ дал: margaritagorbunova20
0

Ответ:

Это очень легко...мы проходили это..

Это правильно

Приложения:

firelisa81: а можно немного с обяснением
Вас заинтересует