• Предмет: Алгебра
  • Автор: bymponty
  • Вопрос задан 1 год назад

ПОМОГИТЕ!!!
Яка з пар чисел є розв’язком системи рівнянь (на фото)

Приложения:

Ответы

Ответ дал: NNNLLL54
1

Ответ:

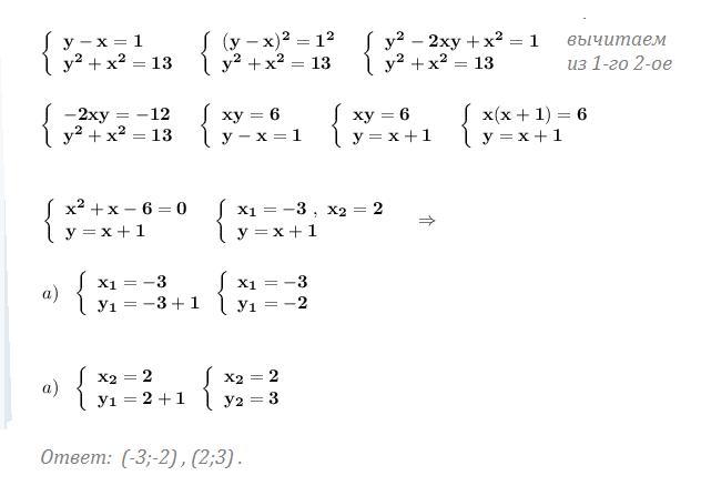
Решить систему уравнений . Применим формулу квадрата разности .

\left\{\begin{array}{l}\bf y-x=1\\\bf y^2+x^2=13\end{array}\right\ \ \left\{\begin{array}{l}\bf (y-x)^2=1^2\\\bf y^2+x^2=13\end{array}\right\ \ \left\{\begin{array}{l}\bf y^2-2xy+x^2=1\\\bf y^2+x^2=13\end{array}\right\ \ \ominus \\\\\\\left\{\begin{array}{l}\bf -2xy=-12\\\bf y^2+x^2=13\end{array}\right\ \ \left\{\begin{array}{l}\bf xy=6\\\bf y-x=1\end{array}\right\ \ \left\{\begin{array}{l}\bf xy=6\\\bf y=x+1\end{array}\right\ \ \left\{\begin{array}{l}\bf x(x+1)=6\\\bf y=x+1\end{array}\right\ \  

\left\{\begin{array}{l}\bf x^2+x-6=0\\\bf y=x+1\end{array}\right\ \ \left\{\begin{array}{l}\bf x_1=-3\ ,\ x_2=2\\\bf y=x+1\end{array}\right\ \ \ \Rightarrow \\\\\\a)\ \ \left\{\begin{array}{l}\bf x_1=-3\\\bf y_1=-3+1\end{array}\right\left\{\begin{array}{l}\bf x_1=-3\\\bf y_1=-2\end{array}\right  

a)\ \ \left\{\begin{array}{l}\bf x_2=2\\\bf y_1=2+1\end{array}\right\left\{\begin{array}{l}\bf x_2=2\\\bf y_2=3\end{array}\right\\\\\\\bf Otvet:\ (\, -3\ ;\, -2\ )\ ,\ (\ 2\ ;\ 3\ )\ .        

Приложения:

masha01021: здравствуйте, помогите пожалуйста решить задачу
Вас заинтересует