• Предмет: Алгебра
  • Автор: snizokmarmiladka
  • Вопрос задан 2 года назад

прошу помогите пожалуйста, очень нужно, буду очень благодарна!!​

Приложения:

Ответы

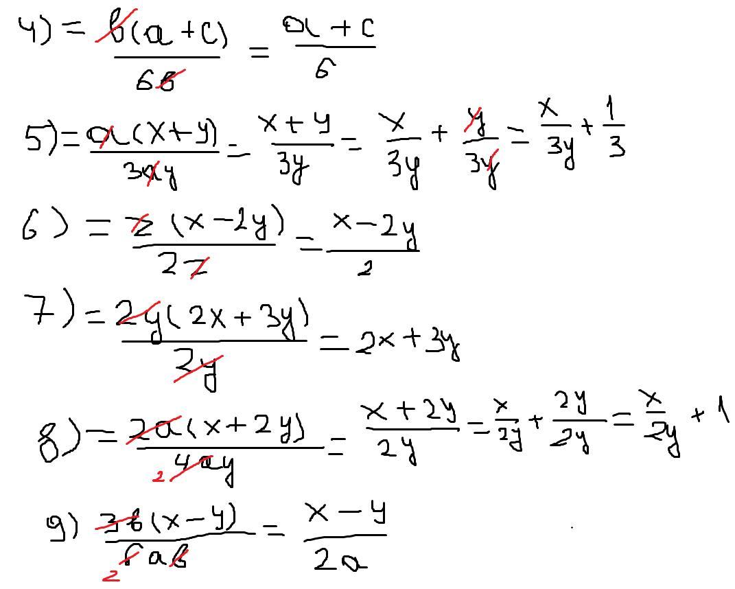
Ответ дал: Человек999999
0

Ответ:

на скрине

Объяснение:

сами примеры не списывал, не пугайся. написано то что после знака равно

Приложения:
Вас заинтересует