• Предмет: Алгебра
  • Автор: Nurzhan94
  • Вопрос задан 1 год назад

вычислите интегралы .............................

Приложения:

Ответы

Ответ дал: Alnadya
1

Ответ:

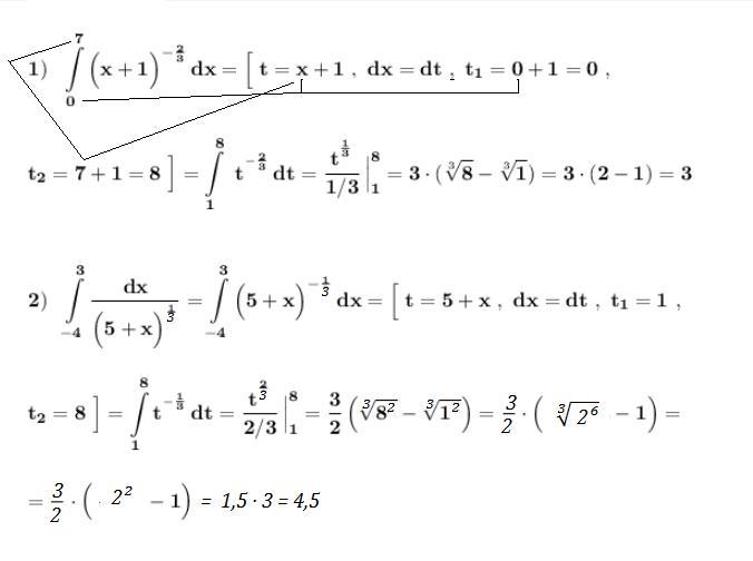
При вычислении определённых интегралов применяем метод интегрирования с помощью замены . Применяем формулу Ньютона-Лейбница .

\bf \displaystyle 1)\ \ \int\limits_0^7\Big(x+1\Big)^{-\frac{2}{3}}\, dx=\Big[\ t=x+1\ ,\ dx=dt\ ,\ t_1=0+1=0\ ,\\\\\\t_2=7+1=8\ \Big]=\int\limits_1^8\ t^{^{-\frac{2}{3}}}\, dt=\frac{t^{^{\frac{1}{3}}}}{1/3}\, \Big|_1^8=3\cdot (\sqrt[3]{\bf 8}-\sqrt[3]{\bf 1})=3\cdot (2-1)=3  

\bf \displaystyle 2)\ \ \int\limits_{-4}^3\dfrac{dx}{\Big(5+x\Big)^{\frac{1}{3}}}=\bf \displaystyle \int\limits_{-4}^3\Big(5+x\Big)^{-\frac{1}{3}}\, dx=\Big[\ t=5+x\ ,\ dx=dt\ ,\ t_1=1\ ,\\\\\\t_2=8\ \Big]=\int\limits_1^8t^{^{-\frac{1}{3}}}\, dt=\frac{t^{^{\frac{2}{3}}}}{2/3}\, \Big|_1^8=\frac{3}{2}\, \Big(\sqrt[3]{\bf 8^2}-\sqrt[3]{\bf 1^2}\Big)=\frac{3}{2}\cdot \Big(\sqrt[3]{\bf 2^6}-1\Big)=\\\\\\=\frac{3}{2}\cdot \Big(2^2-1\Big)=\frac{3}{2}\cdot (4-1)=\frac{9}{2}=4,5  

Приложения:

Nurzhan94: спасибо вам, в ответе во втором заданий 4,5
Nurzhan94: думаю будет так 8^2\3 \2\3-1\2\3 = 2^3*2\3 \2\3 -3\2= 2^2\ 2\3-3\\2=4\2\3-3\2=12\2-3\2=6-3\2=12-3\2=9\2=4.5
masha01021: вы здесь
masha01021: помогите пожалуйста решить
Alnadya: да, я наоборот написала показатель степени корня и показатель подкоренного выражения ...
Alnadya: исправила
Nurzhan94: спасибо)
Вас заинтересует