• Предмет: Алгебра
  • Автор: nastalukanova139
  • Вопрос задан 2 года назад

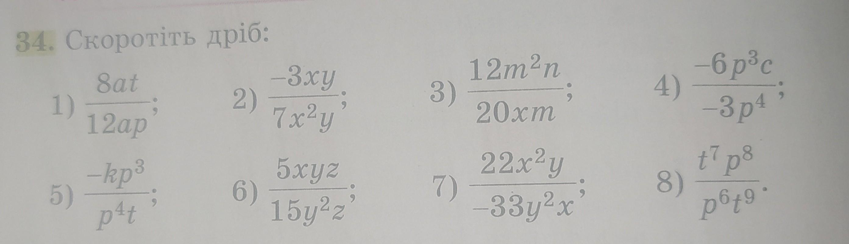
ТЕРМІНОВО ДОПОМОЖІТЬ РОЗВ'ЯЖІТЬ ПОСТУПОВО РІВНЯННЯ

Приложения:

Ответы

Ответ дал: sid8743
0

Ответ:

1) 2t / 3p

2) -3x^-1 / 7

3) 3mn / 5x

4) 2p^-1 × c

5) -kp^-1 / t

6) xy^-1 / 3

7) 2xy^-1 / -3

8) t^-2 × p²

Вас заинтересует