• Предмет: Алгебра
  • Автор: tanapak589
  • Вопрос задан 2 года назад

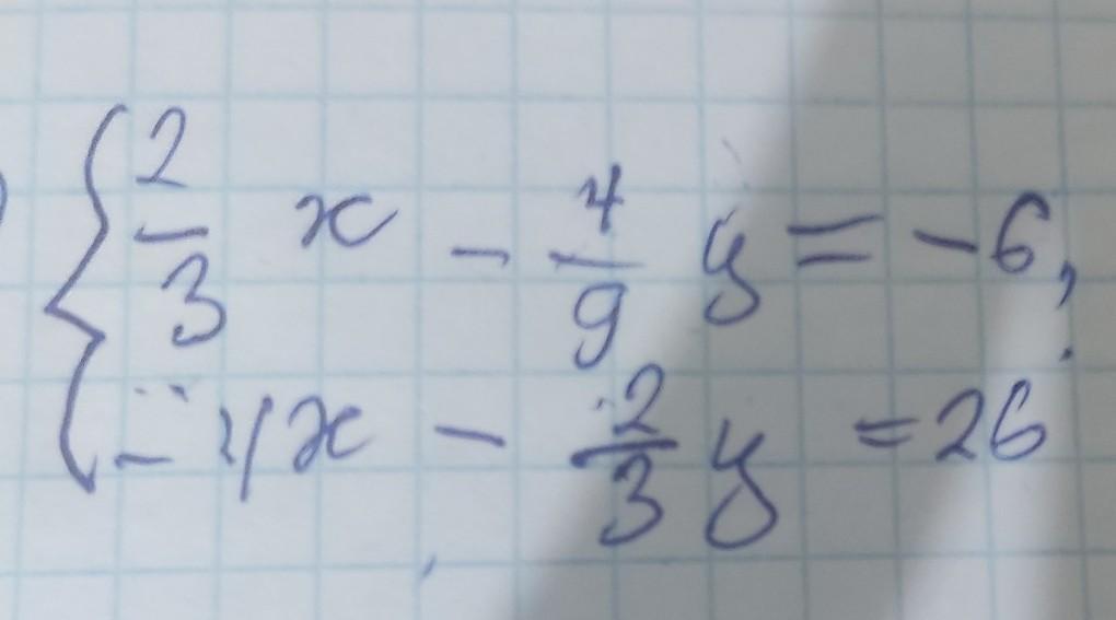
2/3x-4/9y=-6 -4x-2/3y=26 пж помогите решить уравнение​

Приложения:

Ответы

Ответ дал: vasalatijroma
0

Ответ:

Ми розв'яжемо цю систему рівнянь, помноживши обидва рівняння на певні константи так, щоб позбутися дробів.

Помножимо перше рівняння на 9, щоб позбутися дробів:

2/3x - (4/9y) = -6

(9)(2/3x) - (9)(4/9y) = (9)(-6)

Отримаємо:

6x - 4y = -54

Тепер помножимо друге рівняння на 9, щоб також позбутися дробів:

(-4x) - (2/3y) = 26

(9)(-4x) - (9)(2/3y) = (9)(26)

Отримаємо:

-36x - 6y = 234

Тепер у нас є система рівнянь без дробів:

1. 6x - 4y = -54

2. -36x - 6y = 234

Розв'яжемо цю систему методом усунення. Виразимо y з першого рівняння:

6x - 4y = -54

-4y = -54 - 6x

4y = 54 + 6x

y = (54 + 6x)/4

y = (27 + 3x)/2

Тепер підставимо цей вираз для y у друге рівняння:

-36x - 6((27 + 3x)/2) = 234

Спростимо рівняння, помноживши обидва боки на 2, щоб позбутися дробів:

-72x - 3(27 + 3x) = 468

Розподілімо -3 на обидві сторони рівняння:

-72x - 81 - 9x = 468

Тепер згрупуємо змінні і константи:

-72x - 9x - 81 = 468

-81x - 81 = 468

Тепер додамо 81 до обох сторін:

-81x = 468 + 81

-81x = 549

Тепер поділимо обидві сторони на -81, щоб знайти x:

x = 549 / -81

x = -549 / 81

x = -61/9

Тепер, коли ми знаємо значення x, ми можемо знайти значення y, використовуючи одне зі спочатку заданих рівнянь. Давайте використаємо перше рівняння:

6x - 4y = -54

Підставимо x:

6(-61/9) - 4y = -54

Спростимо множення:

-366/9 - 4y = -54

-366/9 - 4y = -54

Помножимо обидва боки на 9, щоб позбутися дробів:

-366 - 36y = -486

Тепер додамо 366 до обох сторін:

-36y = -486 + 366

-36y = -120

Тепер поділимо обидві сторіни на -36, щоб знайти y:

y = -120 / -36

y = 10/3

Отже, розв'язок системи рівнянь:

x = -61/9

y = 10/3


tanapak589: спасибо
Вас заинтересует