• Предмет: Химия
  • Автор: sonyagarbuz
  • Вопрос задан 2 года назад

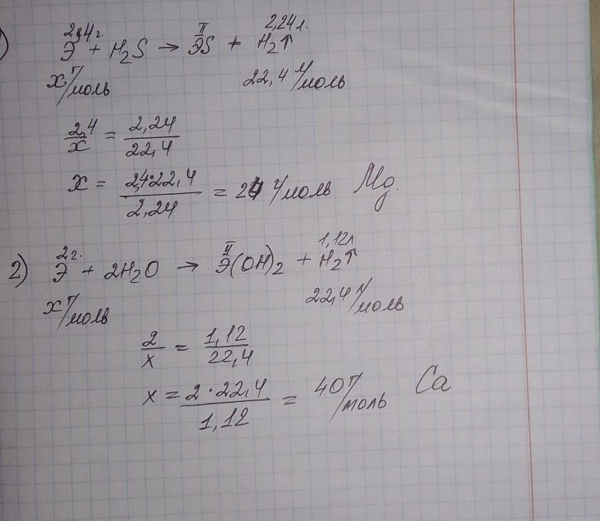
1) При взаємодії 2,4 г двовалентного металу з сульфідною кислотою виділилося 2,24 л водню.
2) При взаємодії 2г двовалентного металу з водою виділилося 1.12 л водню
ОЧЕНЬ СРОЧНО!!!!!!!!

Ответы

Ответ дал: unezhewaoxnw6u
0

Объяснение:

1) При взаємодії 2,4 г двовалентного металу з сульфідною кислотою виділилося 2,24 л водню. = магній

2) При взаємодії 2г двовалентного металу з водою виділилося 1.12 л водню = кальцій

Приложения:
Вас заинтересует