• Предмет: Алгебра
  • Автор: gerasimovakira264
  • Вопрос задан 2 года назад

очень срочно, помогите с заданием на фото​

Приложения:

Ответы

Ответ дал: cor1eone
1

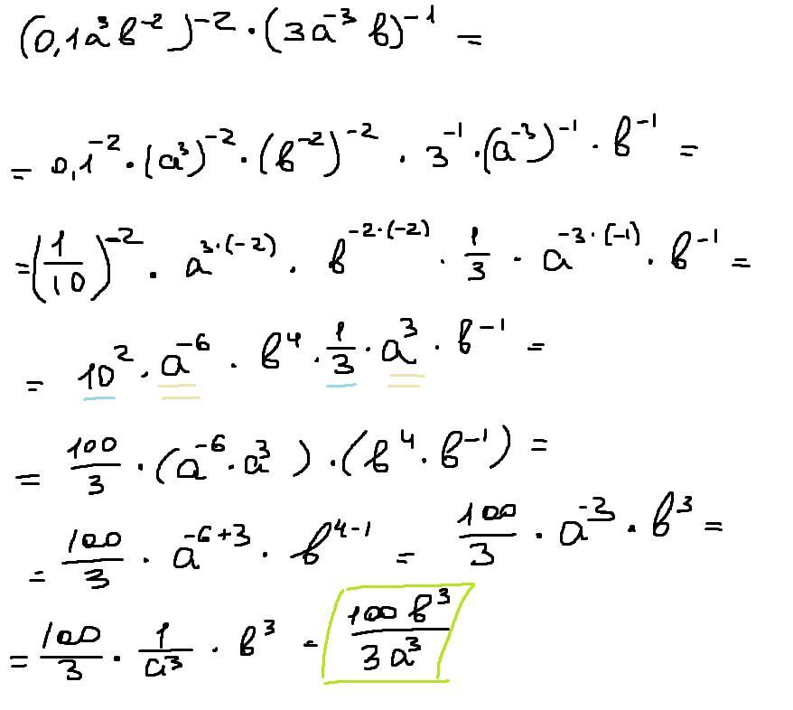
Доброго времени суток. Решение во вложении

Приложения:
Вас заинтересует