• Предмет: Алгебра
  • Автор: egorkudaev1
  • Вопрос задан 2 года назад

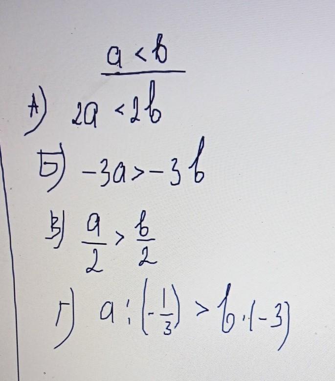
знайдіть неправильну відповідь ​

Приложения:

Ответы

Ответ дал: raminyassarly
1

Ответ:

Неправильно

-3a>-3b

a/2<b/2

Объяснение:

все остальное правильно


egorkudaev1: спасибо большое
raminyassarly: поставь лайк и оценку пж
Вас заинтересует