• Предмет: Математика
  • Автор: artemcabanov31
  • Вопрос задан 2 года назад

Допоможiть, хто може!!!!

Приложения:

Ответы

Ответ дал: solololss
1

Ответ:

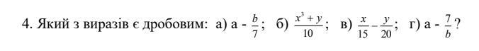
в) будет являться дробью

Вас заинтересует