• Предмет: Математика
  • Автор: zxcrable1
  • Вопрос задан 2 года назад

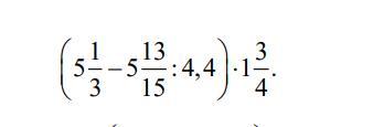
ПОМОГИТЕ ПОЖАЛУЙСТА...

Приложения:

Ответы

Ответ дал: bezhenarao
0

Пошаговое объяснение:

користуйся, гарного дня

Приложения:
Ответ дал: dianabagrova97
0

простите, неправильно решила(

Вас заинтересует