• Предмет: Алгебра
  • Автор: secretbot
  • Вопрос задан 1 год назад

терміново! допоможіть! тільки не коротко

Приложения:

Ответы

Ответ дал: oleksaoleksei02
0

Відповідь:

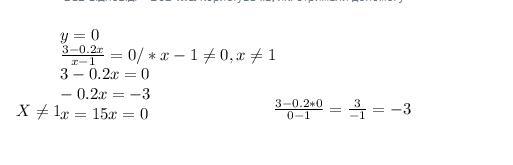
щоб знайти нулі функції потрібно її прирівняти до 0

Пояснення:

5 0=-5

Приложения:
Вас заинтересует