• Предмет: Алгебра
  • Автор: dianapylypak20
  • Вопрос задан 2 года назад

ДАЮ 80 БАЛЛОВ!!!! ПОМОГИТЕ!!!!! ПОЖАЙЛУСТА!!!!! СРОЧНО

Приложения:

Ответы

Ответ дал: sid8743
0

Ответ:

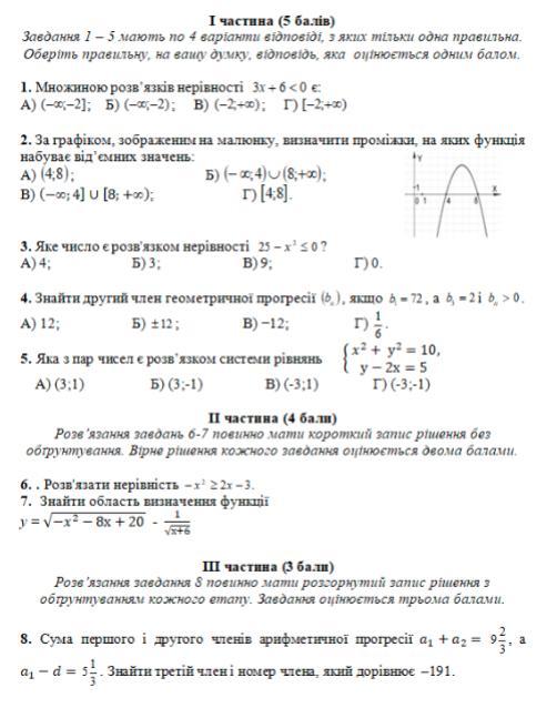
1. 3x < -6

x < -2

x ∈ (-∞; -2)

A)

2. B)

3. -x² ≤ -25

x² ≥ 25

|x| ≥ 5

x ≥ 5

x ≥ 0

x ∈ [5; +∞)

-x ≥ 5

x < 0

x ≤ -5

x < 0

x ∈ (-∞; -5]

x ∈ [5; +∞) U (-∞; -5]

B)

4. A)

5. y = 5 + 2x

x² + (5 + 2x)² = 10

x² + (25 + 20x + 4x²) = 10

x² + 25 + 20x + 4x² = 10

5x² + 20x + 25 - 10 = 0

5x² + 20x + 15 = 0

D = 20² - 4 × 15 × 5 = 400 - 300 = 100

x1 = (-20 + 10) / 10 = -1

x2 = (-20 - 10) / 10 = -3

y1 = 5 + 2 × (-1)

y1 = 3

y2 = 5 + 2 × (-3)

y2 = -1

(-1; 3) (-3; -1)

Г)

Вас заинтересует