• Предмет: Алгебра
  • Автор: Влада2012
  • Вопрос задан 11 лет назад

Решите 3 задания,тока не просто ответ,а решение 

Приложения:

Ответы

Ответ дал: okneret
0

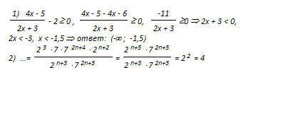
использовано свойство дроби, свойства степеней

 

Приложения:
Вас заинтересует