• Предмет: Химия
  • Автор: olgadyra12
  • Вопрос задан 1 год назад

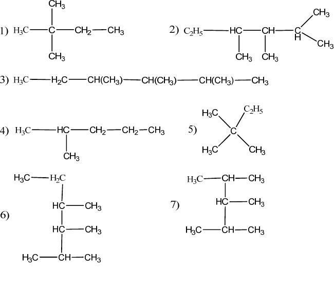
какое из приведенных формул отвечают одному и тому же соединению​

Приложения:

Ответы

Ответ дал: uraproskurnak053
0

Ответ:

2.3.6

Объяснение:

всі ці речовини є ізомерами речовини нонану

С9Н20

Вас заинтересует