• Предмет: Алгебра
  • Автор: ivankayaroshuk
  • Вопрос задан 2 года назад

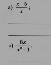
2. При якому значенні змінної поданий вираз не має змісту? ​

Приложения:

Ответы

Ответ дал: dimapetrov14881488g
0

Ответ:

відповідь Б

Пояснення немає

Вас заинтересует