• Предмет: Математика
  • Автор: kyarie
  • Вопрос задан 2 года назад

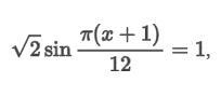
Понятно и подробно объяснить решение уравнения. Найти наибольший корень уравнения:

Приложения:

Ответы

Ответ дал: vovayctinov
0

Тут даже фермер вкурит что тут и как

Приложения:

vovayctinov: не "2)", а "2." блииин ;(
Вас заинтересует