• Предмет: Математика
  • Автор: TERMENATROP
  • Вопрос задан 2 года назад

Виконайте і поясніть мені як це виконувати, бо я повний 0 в математиці

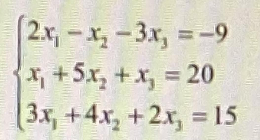
Приложения:

Ответы

Ответ дал: ForceOne
1

Це система лінійних рівнянь. вирішити її можна за допомогою методу  методу виключення.

1. Помножимо друге рівняння на 2 і віднімемо його від першого рівняння:

$2*(x_{1}+5 x_{2}-x_{3}) - (2 x_{1}-x_{2}-3 x_{3}) = 2*20 - (-9)$

Це дасть нове рівняння:

$11x_{2} + x_{3} = 41$

2. Помножимо друге рівняння на 3 і віднімемо його від третього рівняння:

$3*(x_{1}+5 x_{2}-x_{3}) - (3 x_{1}+4 x_{2}+2 x_{3}) = 3*20 - 15$

Це дасть друге нове рівняння:

$11x_{2} - x_{3} = 45$

3. Тепер у нас є система двох рівнянь з двома невідомими

$\left\{\begin{array}{l}11x_{2} + x_{3} = 41 \\ 11x_{2} - x_{3} = 45\end{array}\right.$

Додамо ці два рівняння:

$22x_{2} = 86$

Отже,$x_{2} = 86 / 22 = 3.9091$

4. Підставимо $x_{2}$ назад у перше і друге рівняння, щоб знайти $x_{1}$ і $x_{3}$:

$x_{1}+5*3.9091-x_{3}=20$

$2x_{1}-3.9091-3x_{3}=-9$

Розв'язавши ці два рівняння, отримаємо:

$x_{1} = 1.2727$, $x_{3} = -0.5455$

Отже, розв'язок системи рівнянь є:

$x_{1} = 1.2727$, $x_{2} = 3.9091$, $x_{3} = -0.5455$

Вас заинтересует