• Предмет: Алгебра
  • Автор: Viscount
  • Вопрос задан 1 год назад

Докажите тождество и найдите значение выражения

Приложения:

Ответы

Ответ дал: Alnadya
1

Ответ:

6)  Доказать тождество .

\bf cos^4a-sin^4a=2cos^2a-1  

Применяем формулу разности квадратов и тригонометрическую единицу .   Причём из    \bf sin^2a+cos^2a=1    следует равенство

\bf sin^2a=1-cos^2a\ \ .

\bf cos^4a-sin^4a=(cos^2a-sin^2a)(\underbrace{\bf cos^2a+sin^2a}_{1})=cos^2a-sin^2a=\\\\=cos^2a-(1-cos^2a)=cos^2a-1+cos^2a=2cos^2a-1  

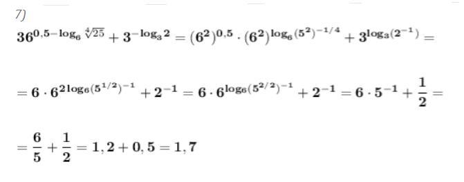
7)  Найти значение выражения .

\bf 36^{0,5-log_{_6}\sqrt[4]{25}}+3^{-log_{_3}2}}=(6^2)^{0,5}\cdot (6^2)^{log_{_6}(5^2)^{-1/4}}+3^{log_3(2^{-1})}=\\\\\\=6\cdot 6^{2\, log_6(5^{1/2})^{-1}}+2^{-1}=6\cdot 6^{log_6(5^{2/2})^{-1}}+2^{-1}=6\cdot 5^{-1}+\dfrac{1}{2}=\\\\\\=\dfrac{6}{5}+\dfrac{1}{2}=1,2+0,5=1,7      

Приложения:

Viscount: Нижайше благодарю
Alnadya: Посмотрите ещё раз, исправила описку
Вас заинтересует