Ответы
Ответ дал:
0
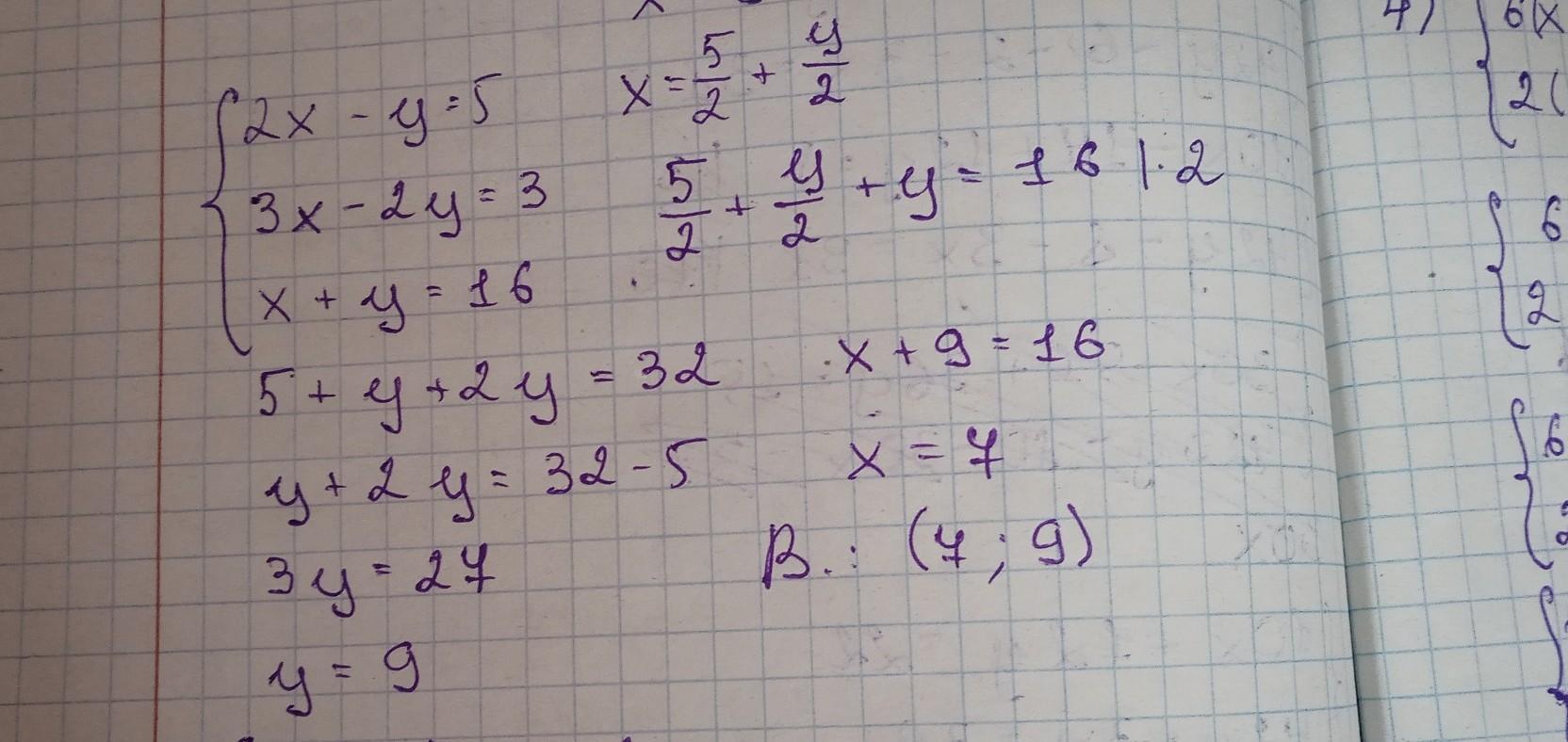
x + y = 16
y = 16 - x
2x - (16 - x) = 5
2x - 16 + x = 5
3x - 16 = 5
3x = 5 + 16
3x = 21
x = 21 / 3
x = 7
x + y = 16
7 + y = 16
y = 16 - 7
y = 9
Отже, розв'язок системи рівнянь:
x = 7
y = 9
Ответ дал:
1
нещодавно вирішувала її
Приложения:

Вас заинтересует
1 год назад
1 год назад
2 года назад
8 лет назад